91成人电影
教师登录
中文
English
91成人电影
91成人电影概况
91成人电影简介
管理团队
组织结构
联系方式
师资力量
学术委员会
教学指导委员会
教授
副教授
青年教师
兼职高层次人才
师资一览表
新闻资讯
91成人电影动态
学术公告
91成人电影公告
MBA教育
国际教育
特色项目
EDP中心
新闻资讯
91成人电影动态
学术公告
91成人电影公告
MBA教育
国际教育
特色项目
EDP中心
MBA教育
当前位置:
91成人电影
>
新闻资讯
>
MBA教育
> Content
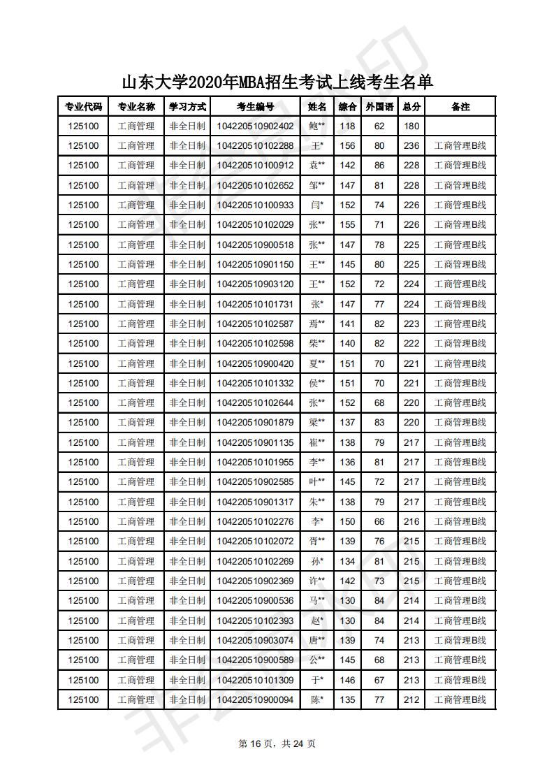
91成人电影 2020年MBA招生考试上线名单
编辑:于范
发布时间:2020-04-17
附件【
91成人电影 2020年MBA招生考试上线考生名单.pdf
】已下载
次
友情链接
山大91成人电影
剑桥大学
山大(青岛)
教育部
国家留学基金委
91成人电影 国际事务部
市北政务网
剑桥大学剑桥企业中心
版权所有 © 91成人电影 - 高清91成人电影在线观看 地址:山东省青岛市即墨区滨海路72号 邮编:266237 办公电话:0532-58631828 0532-58631815